График работы:
Пишите в Telegram:
+7 985 522-42-14 t.me/Bioh_service
Бесплатная консультация
Важно!
Укажите ваш ник Telegram в примечании к заказу, иначе мы сможем с вами связаться только по электронной почте.
Главная
/
Статьи
/
Tesofensine (Тезофензин)

Tesofensine (Тезофензин)

12 февраля 2026

Содержание статьи

Что такое Tesofensine?

Тезофензин (Tesofensine) – это пептид, который происходит из семейства фенилтропанов и действует как ингибитор обратного захвата серотонина-норадреналина-дофамина. Это соединение наиболее известно своей способностью способствовать снижению веса за счет подавления аппетита и увеличения расхода энергии в состоянии покоя. Тезофензин также продемонстрировал потенциал для улучшения когнитивных функций посредством непрямого потенцирования холинергической нейротрансмиссии, однако с 2019 года все экспериментальные применения пептида для улучшения когнитивных функций были прекращены. Все текущие испытания сосредоточены на эффективной борьбе тезофензина с ожирением.

Основные результаты исследования

1) Исследователи определили, что с 12-й по 24-ю неделю лечения тезофензином потеря веса была обусловлена в основном усилением чувства сытости и снижением аппетита.

2) Было показано, что тезофензин способствует снижению веса за счет подавления аппетита и косвенной стимуляции альфа-1-адренорецепторов и дофаминовых рецепторов D1.

Избранные данные

1) Исследование, проведенное исследовательской группой Gilbert et. Al, разделило свой эксперимент на две части по 24 недели каждая и разделило периодом без приема лекарств в 12 +/- 3 недели. Первая часть исследования включала рандомизированный, двойной слепой, плацебо-контролируемый, параллельный групповой дизайн. После двухнедельного периода адаптации испытуемые были распределены в группу, получающую либо плацебо-лечение, либо 0,25 мг, 0,5 мг или 1,0 мг тезофензина; медикаментозное лечение дополнялось диетой с ограничением калорий и повышенной физической активностью. Все испытуемые, успешно завершившие первую часть исследования, прошли период без приема лекарств, а затем были приглашены для участия во второй части исследования. Вторая часть поддерживала ту же диету и привычки к физическим упражнениям, включая повторное введение препарата, когда все испытуемые получали ежедневный прием 0,5 мг тезофензина. Через 4 недели исследователи смогли увеличить прием тезофензина до 1,0 мг в день [1].

В этом исследовании участвовали мужчины и женщины с ожирением в возрасте от 18 до 65 лет. Все женщины детородного возраста должны были иметь отрицательный тест на беременность и использовать безопасные методы контрацепции. Курильщики допускались к участию в исследовании, если их привычка к курению оставалась стабильной в течение двух месяцев, однако, субъект исключался из исследования, если он принимал лекарство, которое, как известно, значительно изменяет вес тела. Также исключались субъекты, имеющие зависимость от наркотиков или алкоголя или имеющие любое количество эндокринных, неврологических, печеночных, почечных, сердечно-сосудистых или психиатрических заболеваний. Что касается психиатрических заболеваний, важно отметить, что если у субъекта был предыдущий опыт депрессии или тревожности и он полностью выздоровел, ему разрешалось участвовать в исследовании [1].

В течение экспериментального периода лечения измерялся вес тела субъектов, когда они были в легкой одежде, и все зарегистрированные веса округлялись до ближайших 0,1 кг. Затем измерялся рост, когда субъекты стояли босиком напротив настенного ростомера, и все измерения округлялись до ближайших 0,5 см. Ранее утвержденные стандарты использовались для оценки ощущений аппетита, таких как голод, сытость, полнота и предполагаемое потребление пищи (ППП), а также желание есть жирную, соленую, сладкую или острую пищу. Испытуемым предъявлялись 100-миллиметровые весы с вопросом и двумя фразами на каждом конце, представляющими самые отрицательные и самые положительные оценки. Например, испытуемые читали вопрос «Насколько голодны вы себя чувствуете?» и помещали свой ответ на весы между самой отрицательной оценкой: «Я совсем не голоден» и самой положительной оценкой: «Я никогда не был так голоден». Участники исследования заполняли эту форму, когда они впервые приходили в лабораторию после ночного голодания. Все реакции на ощущение аппетита использовались для расчета комплексного показателя сытости (CSS) следующим образом:

CSS (мм) = (Сытость + Полнота + (100 – БЖУ) + (100 – Голод))/4

Более высокий CSS связан с более высоким чувством сытости, снижением аппетита и более низкой мотивацией к еде.

Для сравнения средних значений между каждой группой лечения исследовательская группа использовала метод одностороннего дисперсионного анализа, в то время как для анализа изменений с течением времени в каждой группе и в пределах всей выборки использовался метод дисперсионного анализа с повторными измерениями. Затем использовался двухсторонний дисперсионный анализ для наблюдения за эффектами времени в каждой группе лечения, после чего применялся тест Тьюки для сравнения групп лечения. Наконец, тест Собеля использовался для оценки потенциального медиационного эффекта вариаций CSS на изменения массы тела. Статистический анализ проводился с использованием статистического программного обеспечения JMP версии 7.0, и все данные выражались как среднее значение +/- sd [1].

2) Исследователи Аксель и др. исследовали механизм, посредством которого тезофензин вызывает потерю веса. В исследовании использовались пятинедельные самцы крыс Sprague-Dawley, которых изначально размещали по четыре крысы в клетке из прочного плексигласа, содержащей очищенную от пыли древесную стружку и картонную трубку. Крысы содержались по строгому графику 12 часов света/12 часов темноты, а температура окружающей среды поддерживалась на уровне 18,0–22,0 градусов по Цельсию. В течение 10 недель крысам без ограничений предоставлялась пища с высоким содержанием жиров, чтобы вызвать ожирение. После 3–4 недель диеты с высоким содержанием жиров условия содержания изменились, и крыс случайным образом подбирали и размещали по 2 крысы в клетке. 10 недель диеты с высоким содержанием жиров привели к увеличению массы тела на 22%; затем субъектов стали называть крысами с ожирением, вызванным диетой (DIO). Затем крыс случайным образом распределили по экспериментальным группам, которым давали тезофензин или плацебо [2].

После 9-10 недель высокожировой диеты крысы DIO и их партнеры были переселены в полностью автоматизированные клетки для мониторинга потребления пищи (HM-2). Клетки HM-2 были похожи на клетки в комнате для содержания, поскольку они были помещены в модифицированный вентилируемый шкаф и содержались по графику 12-часовой свет/12-часовая темнота. Испытуемым давали возможность привыкнуть к новой системе мониторинга потребления пищи в течение 5 дней до начала лечения тезофензином. Пищевое поведение каждого испытуемого строго контролировалось в течение периода привыкания, чтобы гарантировать, что потребление пищи животными вернулось к уровню, существовавшему до размещения. Затем крысам подкожно вводили микрочип, чтобы система мониторинга потребления пищи HM-2 могла идентифицировать и отслеживать пищевое поведение каждого отдельного животного в режиме реального времени на протяжении всего эксперимента.

Потребление пищи постоянно отслеживалось, начиная с того момента, как помеченное животное входило в пищевой канал со считывателем меток. После того, как животные покидали пищевой канал, чистое потребление пищи рассчитывалось программным обеспечением блока управления HM-2. Затем расчет корректировался с учетом любой пищи, которая могла быть разделена в течение периода кормления. Кроме того, микроструктурный анализ ночного потребления пищи проводился путем анализа различных параметров потребления пищи, таких как общее количество приемов пищи, средний размер приема пищи, средняя продолжительность приема пищи, латентный период до первого приема пищи и размер первого приема пищи. Минимальный критерий размера пищи составлял 0,3 г, в то время как минимальный критерий продолжительности приема пищи составлял 30 секунд, а минимальный интервал между приемами пищи составлял 15 минут, измеренных с момента последнего зарегистрированного приема пищи [2].

Тезофензин и соединение-носитель вводили животным подкожно в дозах 1 мл/кг. Все эксперименты, проведенные исследовательской группой по изучению реакции на дозу тезофензина и взаимодействия антагонистов моноаминовых рецепторов, были разработаны как межсубъектные исследования, включающие 6-8 крыс DIO на группу. При наблюдении за лекарственными взаимодействиями двусторонние подкожные инъекции вводились субъектам в течение 1 минуты между каждой инъекцией, после чего следовало введение препарата за 30-60 минут до наступления 12-часового темного периода. Домашняя клетка удалялась из системы мониторинга потребления пищи HM-2, пока субъектам вводились препараты, и возвращалась после завершения инъекции. За этой процедурой следовал запуск автоматического мониторинга пищевого поведения.

Вторичное исследование было проведено исследовательской группой, изучавшей крыс DIO, которые содержались в парной среде до 1 недели до исследования, когда субъекты затем размещались поодиночке в клетках, оборудованных кормушкой, которая использовала ручное взвешивание для оценки чистого потребления пищи. 2,0 мг/кг тезофензина или физиологического раствора вводили подкожно испытуемым DIO один раз в день в течение 16 дней, примерно за 1 час до наступления темного периода. Все зарегистрированные данные о массе тела выражались как ежедневный прирост массы тела относительно первого дня введения препарата; затем все данные вводились в стандартную графическую и статистическую программу анализа [2].

Обсуждение

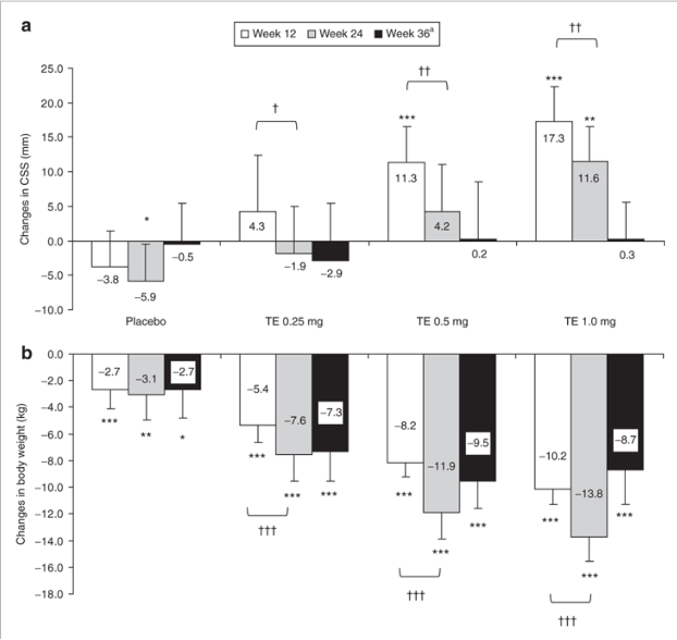
1) Результаты исследования, проведенного Гилбертом и соавторами, показали, что дозозависимая потеря веса наблюдалась в течение первых 24 недель лечения тезофензином. Также наблюдалось соответствующее дозозависимое увеличение CSS в ответ на введение тезофензина. Субъекты, получавшие пептид, продолжали испытывать значительную потерю веса с 12-й по 24-ю неделю, однако CSS в этот период снизился. Важно отметить, что CSS оставался повышенным выше исходного уровня только в группе субъектов, которым вводили 1,0 мг тезофензина. Кроме того, желание есть сладкую, соленую и жирную пищу снижалось дозозависимым образом. На 12-й неделе изменения CSS были связаны с изменениями массы тела как на 12-й, так и на 24-й неделе. Изменения массы тела также были связаны с изменениями оценок желания есть сладкую, соленую и жирную пищу, как на 12-й, так и на 24-й неделе. Не наблюдалось никакой связи между изменением веса и желанием есть острую пищу [1].

Tesofensine (Тезофензин)

Рисунок 1: Изменения A) CSS и B) массы тела в ответ на лечение различными дозами тезофензина.

После первого 24-недельного экспериментального периода все испытуемые прошли период без приема лекарств продолжительностью 12 +/- 3 недели. В течение периода без приема лекарств группы испытуемых испытали средний набор веса на 2,6 +/- 3,3 кг. Исследователи отметили корреляцию между первоначальным изменением веса, достигнутым в течение первых 24 недель лечения, и индивидуальным отскоком веса в течение периода без приема лекарств. Было обнаружено, что все индивидуальные изменения CSS в течение 12-недельного периода без приема лекарств не зависят от изменений веса.

Tesofensine (Тезофензин)

Рисунок 2: Изменения A) CSS и B) массы тела в ходе проекта

Результаты второй части исследования, включающей вмешательство в одной группе, показали значительное снижение веса тела во всей выборке. Исследователи отметили, что изменения веса тела различались в зависимости от предыдущей атрибуции группы. При этом было обнаружено, что группа, получавшая плацебо в первой части, продемонстрировала самую высокую скорость потери веса. Все группы лечения также показали увеличение CSS, однако это не было связано ни с одним из изменений веса, зарегистрированных в тот же период времени. Было также показано, что увеличение CSS не зависит от предыдущей атрибуции группы, а также от первоначальной потери веса до второго периода лечения. Также было упомянуто, что желание есть жирную пищу значительно возросло, в то время как не наблюдалось никаких изменений в желании есть сладкую, соленую и острую пищу [1].

В течение всего проекта средняя потеря веса тела составила 12,8 +/- 8,9 кг, независимо от первоначального лечения, которому подвергался субъект. Однако важно отметить, что индивидуальное изменение веса после 60 недель положительно коррелировало с изменением веса, которое испытывали субъекты в течение первой части проекта. Аналогично, изменение CSS от исходного уровня не зависело от лечения, которое каждый субъект получал в первой части исследования. Исследовательская группа также сообщила о значительной потере веса в группах, получавших дозы 0,5 и 1,0 мг тезофензина (12,0 +/- 6,3 кг и 13,8 +/- 5,5 кг соответственно). Группы, получавшие эти дозы, затем были объединены в качестве начальной процедуры последующего анализа. В конце исследования обе группы лечения показали схожее изменение CSS по сравнению с исходными значениями. Было показано, что CSS увеличился в обеих группах лечения во второй части исследования; объединенная группа увеличилась на 6,2 +/- 18,2 мм, тогда как меньшие группы плацебо увеличились на 6,1 +/- 17,8 мм [1].

Tesofensine (Тезофензин)

Рисунок 3: Изменения CSS в ходе проекта у субъектов, получавших плацебо, 0,5 мг тезофензина или 1,0 мг тезофензина

2) Исследовательская группа Акселя и др. сообщила, что тезофензин способен вызывать гипофагию у крыс с DIO. При подкожной инъекции дозы пептида, варьирующейся от 0,1 до 3 мг/кг, у испытуемых наблюдалось угнетение потребления пищи в течение 12-часового ночного периода наблюдения. Было показано, что угнетение общего потребления пищи достигает порогового значения при дозах 1,0 мг/кг. За 12-часовой период наблюдения крысы, которым вводили растворитель, потребляли приблизительно 54,1 +/- 2,1 ккал пищи; потребление пищи крысами, которым вводили дозу тезофензина 3,0 мг/кг, снизилось на 77% до приблизительно 12,6 +/- 3,9 ккал. При анализе временных эффектов тезофензина результаты показали, что дозы пептида, превышающие 0,5 мг/кг, имели тенденцию к значительному влиянию на совокупное потребление пищи.

Результаты анализа также показали, что начало и продолжительность гипофагии, вызванной тезофензином, зависели от дозы. Когда субъектам вводили дозы, превышающие 2,0 мг/кг, гипофагические эффекты возникали сразу после введения препарата и сохранялись в течение ночного периода наблюдения. Однако более низкие дозы тезофензина в диапазоне от 0,5 до 1,5 мг/кг показали прогрессивное увеличение времени задержки для начала подавления потребления пищи. Исследователи отметили, что лечение промежуточными дозами тезофензина приводило к значительному ингибированию кумулятивного потребления пищи через 2–12 часов после инъекции. При этом ингибирующие эффекты на потребление пищи были отсрочены, когда пептид вводили в более низких дозах, и были значимыми только через 10–12 часов после инъекции [2].

Несмотря на изменения в потреблении пищи в ответ на лечение тезофензином, было показано, что активность питания субъектов восстановилась до того же уровня, что и у контрольной группы с носителем в течение оставшихся 12-72 часов цикла свет-темнота. Это говорит о том, что острое лечение тезофензином не привело к какой-либо компенсаторной активности питания. Кроме того, микроструктурный анализ использовался для изучения влияния тезофензина на ночное потребление пищи. Лечение пептидом значительно снизило несколько параметров кинетики питания, таких как общее количество приемов пищи, средний размер приема пищи и средняя продолжительность приема пищи. Было также обнаружено, что тезофензин влияет на латентность и размер первых приемов пищи субъектов [2].

Tesofensine (Тезофензин)

Рисунок 4: A) Дозозависимый ответ тезофензина на общее потребление пищи у крыс DIO в течение 12-часового ночного периода. B) Временной эффект увеличения доз тезофензина на совокупное ночное потребление пищи.

После наблюдения за потреблением пищи исследователи изучили, как эти изменения повлияли на массу тела в течение 12-часового периода наблюдения. Крысы DIO, которым вводили растворитель, набрали 5,0 +/- 1,0 грамма во время эксперимента; было обнаружено, что лечение тезофензином, вводимое в дозах 1,0 и 3,0 мг/кг, значительно снизило набор веса на 2,0% +/- 1,0 грамма и 7,3 +/- 1,8 грамма соответственно. Кроме того, при оценке влияния тезофензина на пути нейротрансмиссии моноаминов было обнаружено, что доза пептида 1,5 мг/кг ингибирует потребление пищи, что соответствует примерно 50% базального потребления пищи крысами DIO. Это указывает на то, что доза 1,5 мг/кг может быть использована для изучения взаимодействия с различными антагонистами рецепторов моноаминов.

Наконец, исследователи провели вторичный тест, изучающий, как хроническое лечение тезофензином влияет на массу тела. Было показано, что 16 последовательных дней лечения умеренной дозой пептида (2,0 мг/кг) значительно снижают массу тела уже после четырех дней лечения по сравнению с контрольными субъектами, получавшими плацебо. Снижение веса сохранялось на протяжении всего оставшегося эксперимента, достигнув плато на 10-й день. Крысы DIO, получавшие тезофензин, испытали среднее относительное снижение массы тела на 8,6 +/- 1,4%. По сравнению с контрольными субъектами, получавшими плацебо, относительная потеря веса, вызванная тезофензином, составила приблизительно 13,8 +/- 1,4%. Было также показано, что ежедневный прием тезофензина значительно влияет на потребление пищи в течение 16-дневного экспериментального периода, начиная с первого дня лечения и продолжаясь до 14-го дня. В целом, лечение тестостероном подавляло ежедневное потребление пищи на 49,4 ± 4,7% в течение курса лечения с 1-го по 14-й день по сравнению с контрольной группой, получавшей плацебо [2].

Tesofensine (Тезофензин)

Рисунок 5: Влияние хронического лечения тезофензином на A) массу тела и B) потребление пищи.

Список источников

[1] Gilbert JA, Gasteyger C, Raben A, Meier DH, Astrup A, Sjödin A. The effect of tesofensine on appetite sensations. Obesity (Silver Spring). 2012 Mar;20(3):553-61. doi: 10.1038/oby.2011.197. Epub 2011 Jun 30. PMID: 21720440.

[2] Axel AM, Mikkelsen JD, Hansen HH. Tesofensine, a novel triple monoamine reuptake inhibitor, induces appetite suppression by indirect stimulation of alpha1 adrenoceptor and dopamine D1 receptor pathways in the diet-induced obese rat. Neuropsychopharmacology. 2010 Jun;35(7):1464-76. doi: 10.1038/npp.2010.16. Epub 2010 Mar 3. PMID: 20200509; PMCID: PMC3055463.

Для того чтобы получить реквизиты либо договориться о курьерском заказе пришлите номер заказа в телеграм t.me/Bioh_service

Написать
Отдел продаж

Пн-пт 9:00–19:00
Сб 10:00–14:00
Вс — выходной

Прием, оформление заказов и проведение оплат - круглосуточно, без выходных.

Консультация

Пн-пт 9:00-18:00