График работы:
Пишите в Telegram:
+7 985 522-42-14 t.me/Bioh_service
Бесплатная консультация
Важно!
Укажите ваш ник Telegram в примечании к заказу, иначе мы сможем с вами связаться только по электронной почте.
Главная
/
Статьи
/
PEG MGF (пегилированный механический фактор роста)

PEG MGF (пегилированный механический фактор роста)

15 декабря 2024

Содержание статьи

Обзор PEG-MGF

Пегилированный механический фактор роста (PEG-MGF) – это усеченная и слегка измененная форма инсулиноподобного фактора роста 1 (IGF-1 ). Исследования показывают, что он стимулирует пролиферацию и дифференциацию миобластов (мышечных клеток). Он также изучался в исследованиях, направленных на повышение выносливости, усиление функции иммунной системы, снижение уровня холестерина и уменьшение общего количества жира в организме. Также есть некоторые доказательства того, что PEG-MGF улучшает иммунную функцию, связанную с заживлением, и, следовательно, может сократить время, необходимое для заживления ран.

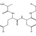
Структура PEG-MGF

PEG MGF (пегилированный механический фактор роста)

Последовательность: PEG-Suc-Tyr-Gln-Pro-Pro-Ser-Thr-Asn-Lys-Asn-Thr-Lys-Ser-Gln-Arg-Arg-Lys-Gly-Ser-Thr-Phe-Glu-Glu-Arg-Lys-Cys
Молекулярная формула: C121H200N42O39
PubChem SID: 178101669
Синонимы: Пегилированный MGF, PEG IGF-1 Ec, PEG миотрофин

Что такое пегилирование?

Пегилирование – это процесс присоединения полиэтиленгликоля к другому химическому соединению. Часто это делается для снижения естественной иммунной реакции организма на агент или, как в случае с PEG-MGF, для увеличения периода полураспада соединения в крови за счет снижения клиренса в почках. Пегилирование распространено, безопасно и имеет ряд преимуществ. PEG-MGF был разработан, потому что MGF имеет очень короткий период полураспада в крови. Хотя он сохраняется в мышечной ткани в течение более длительных периодов времени, MGF, вводимый экзогенно, имеет короткий период полураспада, потому что он сначала проходит через кровоток, если только его не вводят непосредственно в мышечную ткань. PEG-MGF помогает компенсировать этот конкретный недостаток.

Исследования PEG-MGF

PEG-MGF и скелетные мышцы

Травмы мышц распространены в спорте и включают в себя все, от растяжений и вывихов до прямых отрывных травм. Во многих случаях эти типы травм требуют хирургического восстановления. Однако независимо от лечения восстановление, как правило, долгое, а результаты не всегда идеальны. Однако исследования на мышиной модели мышечной травмы показывают, что MGF, введенный непосредственно в мышцу, защищает клетки, снижая экспрессию определенных воспалительных гормонов и уменьшая окислительный стресс [1].

Аналогичное исследование Сана и др. показывает, что MGF модулирует мышечное воспаление и улучшает привлечение макрофагов и нейтрофилов к месту повреждения [2]. Оба исследования основаны на предыдущих знаниях о том, что повреждение мышц, вызванное физическими упражнениями, стимулирует высвобождение IGF-1Ea и IGF-1Eb, оба из которых тесно связаны с MGF [3].

Исследования, проведенные международной группой исследователей-эндокринологов, показывают, что MGF стимулирует рецептор инсулиноподобного фактора роста 1 так же сильно, как и IGF-1 [4]. Стимуляция этого рецептора связана с замедлением старения, увеличением мышечной массы и улучшением энергетического гомеостаза у людей. Эта функция предполагает, что PEG-MGF может производить эффекты, подобные IGF-1, что приводит к улучшению восстановления мышц, усилению жирового обмена и общему увеличению мышечной массы.

Исследования на мышах также показывают 25%-ное увеличение среднего размера мышечных волокон при введении MGF мышам, которые тренируются [5]. В этом исследовании MGF вводился непосредственно в мышцу, что авторы Голдспинк и Джейкман отмечают как серьезное ограничение, поскольку белок должен быть введен в каждую мышцу, в которой должна быть оптимизирована гипертрофия. PEG-MGF решает эту конкретную проблему, увеличивая период полураспада MGF в плазме и позволяя вводить его посредством одной внутривенной инъекции, а не нескольких внутримышечных инъекций.

Исследования PEG-MGF в восстановлении сердечной мышцы

Исследования, проведенные на кафедре биоинженерии в Университете Иллинойса, показывают, что MGF подавляет запрограммированную гибель клеток, которой подвергаются клетки сердечной мышцы после гипоксии. Кроме того, пептид, по-видимому, привлекает сердечные стволовые клетки к месту повреждения и, следовательно, может помочь в регенерации и заживлении после сердечного приступа. Крысам в исследовании вводили MGF в течение восьми часов после гипоксии, и они показали меньшую гибель клеток и большую мобилизацию стволовых клеток по сравнению с контрольной группой, которая не получала MGF [6]. Доктор Дорудян, ведущий автор исследования, считает, что использование наностержней для доставки MDF при повреждениях сердца может быть эффективным способом обеспечения локализованной, долгосрочной терапии биоактивным пептидом в областях повреждения.

Аналогичное исследование показывает, что локализованная доставка MGF показывает, что она может улучшить сердечную функцию после сердечного приступа, уменьшая патологическую гипертрофию. Крысы в исследовании, которые лечились PEG-MGF, показали лучшую гемодинамику и меньшее ремоделирование сердца, чем нелеченые крысы [7]. Карпентер и др. аналогичным образом показали, что MGF, вводимый при остром инфаркте миокарда, может снизить повреждение кардиомиоцитов на целых 35%.

Восстановление и рост костей

Исследования на кроликах показывают, что PEG-MGF может увеличить скорость восстановления костей, усиливая пролиферацию остеобластов, клеток, которые минерализуют кости. Кролики, получавшие высокие дозы MGF, показали тот же уровень заживления через четыре недели, что и контрольная группа через шесть недель [8]. Есть надежда, что эта методика поможет ученым узнать, как способствовать заживлению костей и сократить время, которое люди должны проводить в иммобилизованном состоянии для заживления.

Защита хряща

Исследования показывают, что MGF может улучшить функцию хондроцитов, клеток, которые в первую очередь отвечают за здоровье и отложение хрящей. Исследования на мышах показывают, что MGF усиливает миграцию хондроцитов из кости, где клетки развиваются, в хрящ, где они оказывают влияние [9]. Это идеальная обстановка для PEG-MGF, поскольку его можно вводить в поврежденные суставные пространства, и он будет оставаться там в течение длительного времени. Одна инъекция, теоретически, может быть полезна в течение недель или даже месяцев, тогда как стандартный MGF имеет эффект, ограниченный минутами или, возможно, часами.

Применение в стоматологии

Исследования клеточных культур клеток периодонтальной связки человека показывают, что PEG-MGF может улучшить остеогенную дифференцировку и повысить экспрессию MMP-1 и MMP-2 [10]. Эти факторы улучшают восстановление связок, которые прикрепляют зуб к кости, и могут стать альтернативой слишком большому удалению и имплантации, позволяя людям сохранять свои естественные зубы после травмы. Есть даже предположение, что PEG-MGF может позволить сохранить поврежденные или вырванные зубы после их хирургической реимплантации.

Потенциальные нейропротекторные эффекты

Александр Уокер, помощник редактора в BioMed Central, недавно рассмотрел исследование, изучающее долгосрочные эффекты повышенного уровня MGF в мозге и центральной нервной системе. Исследование показывает, что более высокий уровень MGF помогает уменьшить эффекты возрастной дегенерации нейронов, в результате чего мыши сохраняют свои когнитивные функции и работают на пике когнитивных способностей дольше в старости. По словам Уокера, «эффективность MGF в мозге зависит от возраста», поскольку мыши в исследовании показывали улучшенные результаты как изначально, так и в долгосрочной перспективе, если сверхэкспрессия MGF происходила в более раннем возрасте [11].

Было также показано, что лечение с помощью MGF улучшает мышечную слабость и уменьшает потерю двигательных нейронов в мышиных моделях БАС [12]. Согласно Длужневской и др., MGF естественным образом экспрессируется в мозге после гипоксического повреждения и сверхэкспрессируется в областях мозга, где регенерация нейронов самая высокая. Введение экзогенного MGF может помочь снизить влияние ряда неврологических заболеваний.

Список источников

  1. X. Liu, Z. Zeng, L. Zhao, P. Chen, and W. Xiao, “Impaired Skeletal Muscle Regeneration Induced by Macrophage Depletion Could Be Partly Ameliorated by MGF Injection,” Front. Physiol., vol. 10, p. 601, 2019.
  2. K.-T. Sun, K.-K. Cheung, S. W. N. Au, S. S. Yeung, and E. W. Yeung, “Overexpression of Mechano-Growth Factor Modulates Inflammatory Cytokine Expression and Macrophage Resolution in Skeletal Muscle Injury,” Front. Physiol., vol. 9, 2018.
  3. A. Philippou et al., “Expression of IGF-1 isoforms after exercise-induced muscle damage in humans: characterization of the MGF E peptide actions in vitro,” Vivo Athens Greece, vol. 23, no. 4, pp. 567–575, Aug. 2009.
  4. J. A. M. J. L. Janssen, L. J. Hofland, C. J. Strasburger, E. S. R. van den Dungen, and M. Thevis, “Potency of Full- Length MGF to Induce Maximal Activation of the IGF-I R Is Similar to Recombinant Human IGF-I at High Equimolar Concentrations,” PLoS ONE, vol. 11, no. 3, Mar. 2016./a>
  5. G. Goldspink, “Research on mechano growth factor: its potential for optimising physical training as well as misuse in doping,” Br. J. Sports Med., vol. 39, no. 11, pp. 787–788, Nov. 2005.
  6. G. Doroudian, J. Pinney, P. Ayala, T. Los, T. A. Desai, and B. Russell, “Sustained delivery of MGF peptide from microrods attracts stem cells and reduces apoptosis of myocytes,” Biomed. Microdevices, vol. 16, no. 5, pp. 705–715, Oct. 2014.
  7. J. R. Peña, J. R. Pinney, P. Ayala, T. A. Desai, and P. H. Goldspink, “Localized delivery of mechano-growth factor E-domain peptide via polymeric microstructures improves cardiac function following myocardial infarction,” Biomaterials, vol. 46, pp. 26–34, Apr. 2015.
  8. M. Deng et al., “Mechano growth factor E peptide promotes osteoblasts proliferation and bone-defect healing in rabbits,” Int. Orthop., vol. 35, no. 7, pp. 1099–1106, Jul. 2011.
  9. X. Jing et al., “Mechano-growth factor protects against mechanical overload induced damage and promotes migration of growth plate chondrocytes through RhoA/YAP pathway,” Exp. Cell Res., vol. 366, no. 2, pp. 81–91, May 2018.
  10. J.-T. Chen, Y. Wang, Z.-F. Zhou, and K.-W. Wei, “[Mechano-growth factor regulated cyclic stretch-induced osteogenic differentiation and MMP-1, MMP-2 expression in human periodontal ligament cells by activating the MEK/ERK1/2 pathway],” Shanghai Kou Qiang Yi Xue Shanghai J. Stomatol., vol. 28, no. 1, pp. 6–12, Feb. 2019.
  11. A. W. graduated from the U. of L. with a Bs. in Z. in 2015 H. joined B. C. as E. A. for the L. S. department in May 2017, I. P. I. in Parasitology, entomology, and E. Biology, “Hearts and Minds of Mice and Men: Mechano Growth Factor a new tool in the battle against age-related neuron loss?,” On Biology, 20-Jul-2017. [BMC]
  12. J. Dluzniewska et al., “A strong neuroprotective effect of the autonomous C-terminal peptide of IGF-1 Ec (MGF) in brain ischemia,” FASEB J. Off. Publ. Fed. Am. Soc. Exp. Biol., vol. 19, no. 13, pp. 1896–1898, Nov. 2005.

Для того чтобы получить реквизиты либо договориться о курьерском заказе пришлите номер заказа в телеграм t.me/Bioh_service

Написать
Отдел продаж

Пн-пт 9:00–19:00
Сб 10:00–14:00
Вс — выходной

Прием, оформление заказов и проведение оплат - круглосуточно, без выходных.

Консультация

Пн-пт 9:00-18:00